Appendix A. Derivation of Brownian bridge probability distribution when location errors are normally distributed.
Begin with density functions fa and fb of the initial and final positions of the Brownian bridge, as well as the variance
of the underlying Brownian motion and let
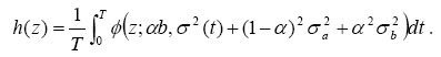
|
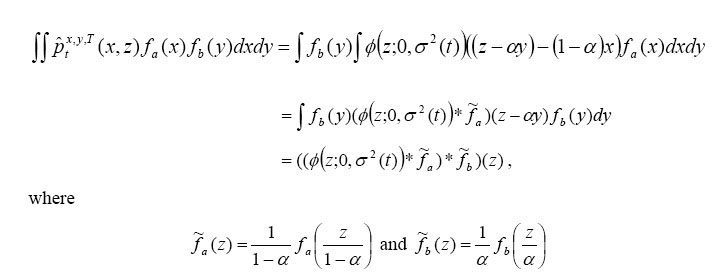
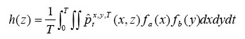
(A.1) |
be the expected occupation time density of the Brownian bridge over the time interval [0,T]. Equation A.1 is simplified by considering the spatial integrals. For simplicity, we write out the details in the one-dimensional case; the two-dimensional case is almost identical, but the notation is more cumbersome.
We begin with a few simple observations that will simplify the calculations. Firstly, if f(x) is a density function and K>0 is a constant, then g(x) = Kf(Kx) is also a density function. Secondly, if f(x) and g(x) are density functions, then a simple change of variables shows that
where
is the convolution of the densities f and
. Such a convolution represents the density of the sum of two independent random variables having the marginal densities f and
. Finally, for notational convenience let
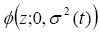
= t/T and write
|
for the density of a
random variable.

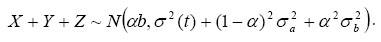
The three-fold convolution is the density function for a sum X + Y + Z of independent random variables X, Y, Z having marginal densities
,
, and
, respectively. The special case of normal distributions
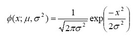
and
for initial and final positions simplifies this expression considerably. In this case, it is easy to check that
and
. Thus,
Plugging this into Eq. A.1, we see that the density of the fraction of time spent by the Brownian Bridge “near z” is
|
This expression agrees with a conjecture in Bullard (1999).
LITERATURE CITED
Bullard, F. 1999. Estimating the home range of an animal: A Brownian bridge approach. M.S. Thesis. University of North Carolina, Chapel Hill, North Carolina, USA.